文库 教育学习 大学 专科资料

信号与系统不挂科:第七讲讲义.pdf

PDF   29页   下载54   2024-07-13   浏览53053   收藏30   点赞87   评分-   760字   10积分
温馨提示:当前文档最多只能预览 10 页,若文档总页数超出了 10 页,请下载原文档以浏览全部内容。
信号与系统不挂科:第七讲讲义.pdf 第1页
信号与系统不挂科:第七讲讲义.pdf 第2页
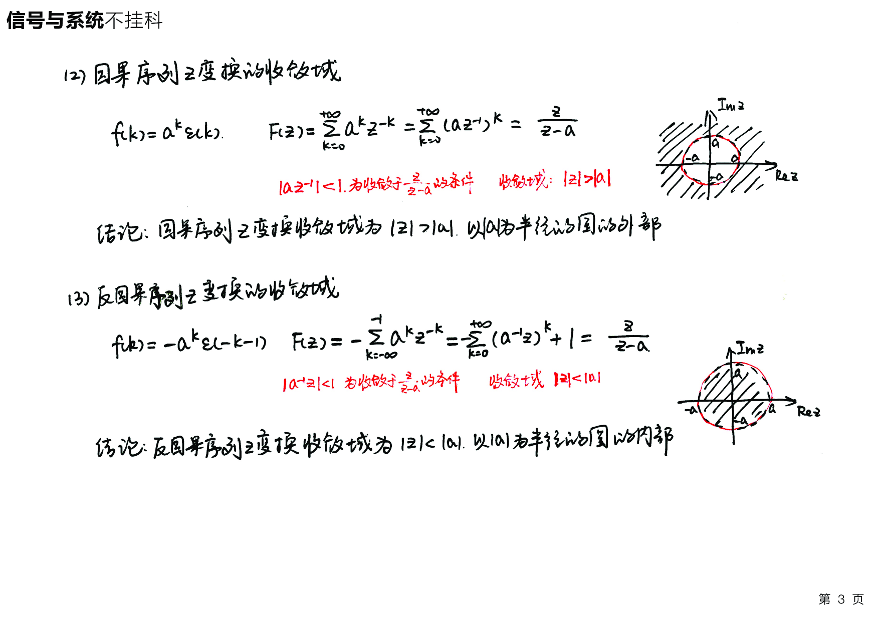
信号与系统不挂科:第七讲讲义.pdf 第3页
信号与系统不挂科:第七讲讲义.pdf 第4页
信号与系统不挂科:第七讲讲义.pdf 第5页
信号与系统不挂科:第七讲讲义.pdf 第6页
剩余19页未读, 下载浏览全部
信号与系统不挂科 第七讲目录 离散时间系统的z域分析 一、z变换 2 z变换的定义 2 z变换的收敛域 2 常用序列的z变换 5 二、z变换的性质 7 线形性质 7 移位性质 8 序列卷积 9 z域尺度变换 9 z域微分 10 初值定理、终值
信号与系统不挂科:第七讲讲义.pdf
下载提示

1、如果首次下次不成功,可再次下载。已购买资料可重复下载,机构或个人下载自己上传的资料不回扣除积分;

2、部分文件过大,经过压缩拆分处理,如需要源文件或者下载出错请发邮件到客服邮箱yy@fanyuetech.cn备注文件名以及个人账号

3、如果浏览器启用了拦截弹出窗口,此功能有可能造成下载失败,请临时关闭拦截;

4、如果是资料包下载后请先用解压软件解压,再使用对应软件打开。软件版本较低时请及时更新;

5、如果下载使用过程中还遇到其它问题可以到【帮助中心】查看解决方法;

6、数据整理不易,最终解释权归本站所有,如有侵权等问题请与客服联系或【点此反馈